淄博市生态环境局沂源分局
标题: 山东省生态环境行政处罚裁量基准
索引号: 11370300MB2874721J/2022-5264267 文号:
发文日期: 2022-09-07 发布机构: 淄博市生态环境局沂源分局

山东省生态环境行政处罚裁量基准

发布日期:2022-09-07
  • 字号:
  • |
  • 打印
目 录
山东省生态环境行政处罚裁量表……………………………………………. 9
一、 专项处罚裁量表……………………………………………………………9
( 一 )建设项目管理类………………………………………………………9
(二)大气污染防治类……………………………………………………. 27
(三)水污染防治类……………………………………………………….. 86
(四)固体废物污染防治类……………………………………………144
(五)土壤污染防治类………………………………………………….. 195
(六)海洋污染防治类………………………………………………….. 226
(七)辐射污染防治类………………………………………………….. 251
(八)其他类………………………………………………………………….317
二、 通用处罚裁量表………………………………………………………..334
可启动按日连续处罚的违法行为情形…………………………………. 335
条款
第一条 目的意义
为提高全省生态环境主管部门依法行政能力和水平,规范行政处罚裁量权的行使,避免行政处罚的随意性、任意性,根据《中华人民共和国行政处罚法》《中华人民共和国环境保护法》《环境行政处罚办法》《关于进一步规范适用环境行政处罚自由裁量权的指导意见》等法律法规文件规定,结合本省实际,制定本规定。
第二条 适用范围《山东省生态环境行政处罚裁量基准》适用于全省各级生态环境主管部门行政处罚裁量。各市生态环境主管部门可在本基准基础上,参照制定适用于本辖区的生态环境行政处罚裁量基准。
第三条 基本原则行使生态环境行政处罚自由裁量权,应当遵循合法合理、过罚相当、公平公正、罚教结合的基本原则。
第四条 裁量方式本基准采用多因素裁量的方式,根据违法行为设定若干裁量因素,按照违法行为不同的情节和危害程度确定裁量等级,科学计算确定处罚金额。裁量因素的设置主要考虑以下因素:违法行为造成的环境污2染、生态破坏以及社会影响;违法行为当事人的主观过错程度;违法行为的具体表现形式;违法行为危害的具体对象;违法行为当事人是初犯还是再犯;改正生态环境违法行为的态度和所采取的改正措施及效果。同类违法行为的情节相同或者相似、社会危害程度相当的,行政处罚种类和幅度应当相当。本基准设置了山东省生态环境行政处罚裁量表,主要分为专项处罚裁量表和通用处罚裁量表两种。对国家和山东省现行生态环境保护法律法规规章中 268 种特定生态环境违法行为进行行政处罚裁量,适用专项处罚裁量表;对除特定生态环境违法行为以外的其他违法行为进行行政处罚裁量,适用通用处罚裁量表。
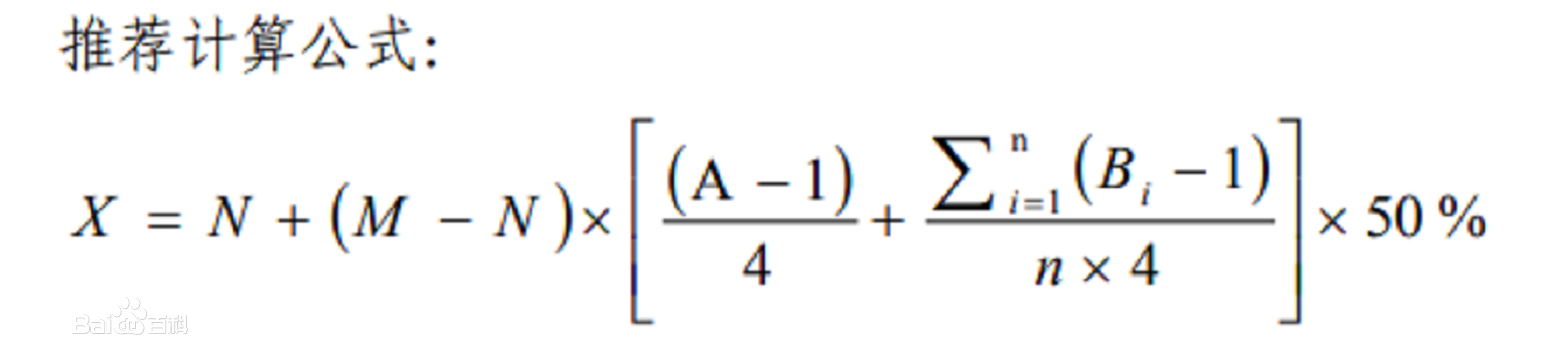
第五条 金额计算
X:处罚金额;
M:法定处罚金额上限;
N:法定处罚金额下限;
A:首要裁量因素裁量等级;
B:其余裁量因素裁量等级;
n:其余裁量因素个数。
当只有一个裁量因素时,A=B=裁量因素裁量等级,n=1;当有多个裁量因素时,A=裁量因素最高裁量等级,Bi=其余裁量因素裁量等级。若裁量等级最高的裁量因素同时有多个时,任选其中一个裁量因素作为 A,其余的按 Bi 进行计算。法定处罚金额下限未明确的,N=0。生态环境主管部门裁定处罚金额时,首先确定裁量表中各项裁量因素的裁量等级,再通过计算公式确定处罚金额。罚款金额取整到“元”,不足 1 元的予以舍去。
第六条 裁量计算器
省生态环境厅将充分运用信息化手段,开发具备“行政处罚自由裁量计算器”功能的自由裁量系统,严格按照裁量规则和基准设计并及时更新。裁量计算器通过输入有关裁量因素,自动计算处罚金额,实现金额裁定的高效、便捷、准确。
第七条 从重情形有下列情形之一的,可以从重处罚:
(一)两年内因同类生态环境违法行为被处罚 3 次(含 3 次)以上的;
(二)重污染天气预警期间实施超标排放大气污染物等涉气生态环境违法行为的;
(三)在案件查处中对执法人员进行威胁、辱骂、殴打、恐吓或者打击报复,或者对举报人、证人打击报复的;
(四)生态环境违法行为造成跨市级以上(含市级)行政区域环境污染或者生态破坏的;
(五)生态环境违法行为引起多次查证属实的环境信访或产生较大负面社会影响的;
(六)伪造、变造证据材料,或者隐匿、销毁违法证据的;
(七)其他具有从重情节的。
对符合从重处罚情形的案件,可以在裁量表确定罚款金额的基础上增加一定的百分值,但一般不超过 40%,且从重处罚后的罚款金额应以最高的法定罚款金额为限。作出从重处罚决定的案件,应当在案卷中附具理由和证据材料。
第八条 从轻或者减轻情形
有下列情形之一的,应当依法从轻或者减轻处罚:
(一)主动消除或者减轻生态环境违法行为危害后果的;
(二)受他人胁迫有生态环境违法行为的;
(三)配合生态环境主管部门查处生态环境违法行为有立功表现的;
(四)其他依法从轻或者减轻行政处罚的。
对符合从轻处罚情形的案件,可以在裁量表确定罚款金额的基础上减少一定的百分值,但一般不超过 20%,且从轻处罚后的罚款金额以最低的法定罚款金额为限。作出从轻或者减轻处罚决定的案件,应当在案卷中附具理由和证据材料。同时具有从重、从轻或者减轻情节的,应综合考虑,根据主要情节适用处罚。
第九条 免予处罚情形
有下列情形之一的,可以免予处罚:
(一)因突发故障等非主观故意因素导致污染防治设施不正
常运行,24 小时内及时报告并采取停、限产措施减少污染物排放,且日均值未超标的。
(二)超标排放污染物,常规污染物单因子超标倍数≤0.1
倍,次日完成整改并达标排放的。
(三)建设项目未依法备案环境影响登记表,经责令改正后于 5 个工作日内按要求完成备案的。
(四)未设置或者未规范设置危险废物识别标志等危险废物管理不规范行为,首次发现,经现场检查指出后立即改正的;不规范贮存危险废物,数量小于 0.1 吨,经现场检查指出后立即改正,且未污染外环境的。
(五)未密闭易产生扬尘的物料,或者未采取有效措施防治扬尘污染,首次发现,未造成明显环境污染后果,经责令限期改正后及时完成整改的。
(六)不正常使用焊烟收集处理设施,首次发现,焊机不超2 台,经现场检查指出后及时整改的。
(七)重点排污单位环境信息未及时公开或者公开内容不全,首次发现,按要求及时完成整改的(不含公开内容弄虚作假行为)。
(八)其他违法行为轻微并及时纠正,没有造成危害后果的。
对适用免予行政处罚情形的案件,应当在执法档案中附具理由和证据材料。省级将根据情况,适时调整发布轻微生态环境违法免罚清单。市级生态环境主管部门可以根据情况确定本地区轻微生态环境违法免罚清单,向社会公布并实施。